发布时间:2026/04/01 点击数:147 本文为2026年3月22日至25日CN Bio在SOT2026毒理学博览会上的三张海报之一,关于SOT2026毒理学博览会原文获取可咨询曼博生物。

本文亮点
CN Bio肝器官芯片+PBMC共培养,准确复现单抗药物的免疫驱动肝毒性,为临床前风险评估提供高转化价值模型。
药物诱导肝损伤(DILI)是药物研发失败的主要原因之一,其中特发性、免疫介导型肝损伤构成的挑战十分严峻¹。免疫相关药物诱导肝损伤(iDILI)的发病机制为:活性代谢产物或药物-蛋白复合物触发抗原呈递、T细胞活化及炎症通路放大,从而导致肝细胞损伤²。遗传因素(比如人类白细胞抗原(HLA)多态性)进一步影响个体易感性³。
传统临床前研究系统缺乏捕捉这些人类特异性机制所需的免疫复杂性,这推动了肝脏微生理系统(MPS)的应用。将外周血单个核细胞(PBMCs)整合到该系统中,可对免疫驱动的肝毒性进行机制性评估。
根据美国食品药品监督管理局(FDA)2025年支持新方法学(NAMs)的路线图⁴,本研究描述了将PhysioMimix微流控器官芯片系统DILI检测方法与循环PBMCs相结合,为评估单克隆抗体(mAbs)及其他药物形式提供更高的转化相关性。您可点击了解曼博生物代理PhysioMimix系统详情。
冷冻保存的原代人肝细胞(PHHs)和外周血单个核细胞(PBMCs)分别购自LifeNet Health(点击了解)和STEM CELL Technologies公司。细胞以1:10的比例接种,其中原代人肝细胞在PhysioMimix多芯片Liver-12板中按每芯片400,000个细胞的密度接种,并使用PhysioMimix系统在灌注条件下培养8天(图1)。
图1:用于肝毒性(DILI)检测的肝脏微生理系统(MPS)实验设置,含原代人肝细胞(PHHs)和外周血单个核细胞(PBMCs)。A)PhysioMimix Core系统B)Liver-12板示意图,包括灌注路径、支架及支架内肝脏微组织的横截面C)毒性实验的时间线及所用细胞:内部验证的原代人肝细胞(PHH)与人类白细胞抗原(HLA)匹配的外周血单个核细胞(PBMCs)(共培养)。检测终点包括细胞健康指标(LDH和ALT)、细胞因子表达(IL-6、IL-2、IL-10、TNF-α、IFN-γ和CRP)、PBMCs的细胞计数及活力评估,以及支架的代表性光学显微镜图像。
培养第4天,将PBMCs与肝脏微组织共培养,并给予两种浓度的单克隆抗体——伊匹木单抗(Ipilimumab)或英夫利昔单抗(Infliximab),这两种抗体均有明确的肝损伤风险记录,且一种为内在肝毒性作用,另一种为特发性肝毒性作用。
每日给药,每个实验条件设置3个重复样本。通过酶联免疫吸附试验检测白蛋白生成,使用细胞毒性检测试剂盒检测乳酸脱氢酶(LDH)释放,采用人丙氨酸氨基转移酶(ALT)检测试剂盒测定ALT活性,并通过ELISA检测C反应蛋白(CRP)、白细胞介素-6(IL-6)、白细胞介素-10(IL-10)、肿瘤坏死因子-α(TNF-α)及干扰素-γ(IFN-γ)的水平。
该实验为了验证预激活 PBMC + 单抗药物是诱导肝细胞损伤的核心组合,并通过LDH和ALT两个关键肝损伤标志物量化损伤程度。结果显示,只有预激活PBMC+单抗药物才会触发肝细胞损伤,LDH和ALT两个核心肝损伤标志物均明显升高;CN Bio模型准确模拟临床免疫介导肝损伤机制,数据可靠、可量化,能帮您在临床前更早发现药物的免疫肝毒性风险。
图2:A)与PHHs和PBMCs共培养组相比,在预激活PBMCs与单克隆抗体(伊匹木单抗和英夫利昔单抗)共同作用下,PHHs出现细胞应激迹象,表现为乳酸脱氢酶(LDH)生成增加。B)具有临床相关性的PHH健康生物标志物——丙氨酸氨基转移酶(ALT)显示,当PHHs与预激活PBMCs和单克隆抗体共培养时,出现细胞应激。
该实验是验证CN Bio器官芯片系统是否适合进行免疫相关肝毒性(iDILI)研究的关键质控数据,图 3 直接证明了CN Bio 方案的两大核心优势:可回收性和特异性机制验证。48 小时共培养下,PBMC约40%细胞成功回收,支持后续下游分析PBMC活力均维持在80%左右,体系安全无毒。细胞在芯片内存活良好,药物未直接杀伤免疫细胞,确保后续检测到的肝毒性是真实的免疫介导反应(iDILI)。
图3:左图接种4×10⁶个细胞后,从Liver-12板中可回收约40%的细胞;右图在48小时共培养期间,细胞活力维持在较高水平。
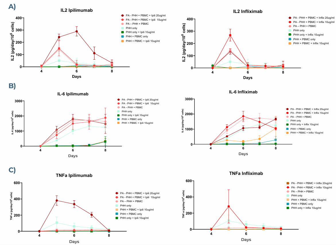
结果显示,预激活 PBMC 是单抗触发免疫肝损伤的关键,只有在这个组合下才会释放 IL-2/IL-6/TNF-α等炎症因子;伊匹木单抗(Ipilimumab)的促炎效应更强更持久,与临床 iDILI 风险更高的观察完全吻合;CN Bio 模型能准确区分不同单抗的免疫毒性差异,为您的新药安全评估提供更贴近临床的可靠数据。
图4:A)在预激活PBMCs存在的情况下,两种药物均使IL-2表达升高,并在第5天达到峰值,但伊匹木单抗诱导的IL-2表达随时间推移保持稳定。B)在预激活PBMCs存在的所有条件下,IL-6表达均随时间升高,其中伊匹木单抗与预激活PBMCs共同作用组的IL-6表达水平更高。C)高浓度伊匹木单抗使TNF-α表达升高且随时间维持稳定,而低浓度英夫利昔单抗在第5天使TNF-α表达出现峰值。
将人类白细胞抗原(HLA)匹配的外周血单个核细胞(PBMCs)整合到原代人肝细胞(PHH)肝脏微生理系统(MPS)中,为评估单克隆抗体(mAbs)的免疫相关药物诱导肝损伤(iDILI)潜力提供了一种具有人类相关性的可靠方法。
PhysioMimix Core系统能够通过3D肝脏微组织持续灌注营养物质、氧气和免疫细胞,维持生理流动状态,支持肝细胞长期功能稳定,并促进动态免疫-肝脏相互作用,更贴近体内人类肝脏生理特征。仅在预激活PBMCs与单克隆抗体共同作用下,PHH应激标志物(ALT)升高且细胞因子表达增加,其中伊匹木单抗作用组的标志物水平更高且随时间维持稳定,这一结果证实了单克隆抗体特异性的iDILI效应。重要的是,该系统可回收免疫细胞用于下游表型分析,从而支持更深入的机制研究。总体而言,本研究数据凸显了肝脏微生理系统(MPS)在模拟免疫相关药物诱导肝损伤(DILI)中的优势,可为风险评估提供支持,并推动新型抗体疗法的研发及监管认可。
1. Gerussi,A.,Natalini,A.,Antonangeli,F.,etal.Immune-MediatedDrug-InducedLiverInjury:ImmunogeneticsandExperimentalModels.InternationalJournalofMolecularSciences,2021.
2. Tasnim,F.,Huang,X.,Lee,C.Z.W.,etal.RecentAdvancesinModelsofImmune-MediatedDrug-InducedLiverInjury.FrontiersinToxicology,2021.
3. Onaciu,A.,Grama,A.,Agoșton,Ș.,etal.HumanLeukocyteAntigen(HLA)SignaturesandIdiosyncraticDrug-InducedLiverInjury.InternationalJournalofMolecularSciences,2026.
4. FDA.FDARoadmap:NAMsinPreclinicalSafetyStudies(April2025)
LifeNet Health人类肝脏原代细胞与培养体系:让每一次研究都贴近生理真相
CN Bio微流控器官芯片系统|在多种MPS中领跑胆汁淤积性DILI预测





